Peer-Reviewed Publications

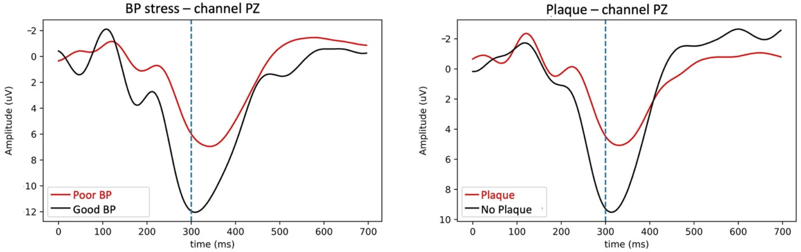
In-Clinic Measurements of Vascular Risk and Brain Activity

This investigator-initiated study, published in The Journal of Ageing and Longevity (2022), retrospectively analyzed routine clinical data collected from adult participants as part of an exploratory research effort.

 

Collaborating Institutions

  • University of Colorado School of Medicine (Denver, CO, USA)

  • Boone Heart Institute (Denver, CO, USA)

  • Eastern Virginia Medical School (Norfolk, VA, USA)

  • Saint Joseph Hospital, SCL Health (Denver, CO, USA)

  • Department of Linguistics, Georgetown University (Washington, DC, USA)

  • Department of Linguistics, North Carolina State University (Raleigh, NC, USA)

  • Baylor College of Medicine (Houston, TX, USA)

WAVi Involvement

  • Provided EEG data acquisition hardware for research use

  • No involvement in study design, data analysis, or interpretation

In-Clinic Event Related Potentials after Sports Concussion: A 4-Year Study

Three-hundred sixty-four (364) student athletes, aged 17–23 years, participating in contact sports were tracked over consecutive years. In this blinded study P300, plus physical reaction times and Trail Making tests, were collected alongside standard clinical evaluations. Changes in these measures after concussion were compared to clinical outcomes over various stages of post-injury recovery.

Collaborating Institutions

  • University of Colorado School of Medicine (Aurora, CO, USA)

  • Children’s Hopsital Colorado (Aurora, CO, USA)

  • Department of Athletics, University of Colorado (Boulder, CO, USA)

WAVi Involvement

  • Provided EEG data acquisition hardware for research use

  • No involvement in study design, data analysis, or interpretation

Electrophysiological Trajectories of Concussion Recovery: From Acute to Prolonged Stages in Late Teenagers

Numerous studies have reported electrophysiological differences between concussed and non-concussed groups, but few studies have systematically explored recovery trajectories from acute concussion to symptom recovery and the transition from acute concussion to prolonged phases. Questions remain about recovery prognosis and the extent to which symptom resolution coincides with injury resolution. This study therefore investigated the electrophysiological differences in recoveries between simple and complex concussion.

Collaborating Institutions

  • SPARCC Sports Medicine, Rehabilitation, and Concussion Center (Tucson, AZ, USA)

  • Department of Pediatrics, Tucson Medical Center (Tucson, AZ, USA)

WAVi Involvement

  • Provided EEG data acquisition hardware for research use

  • No involvement in study design, data analysis, or interpretation

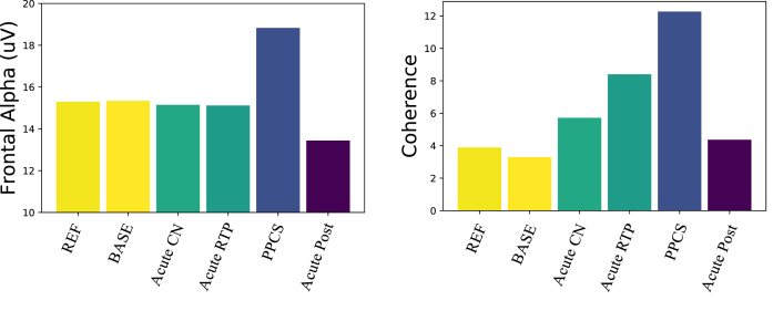
P300 Evoked Response Potentials Patterns in Different Complex Concussion Phenotypes

This study’s aim was to determine the utility of P300 Evoked Response Potentials (ERP) voltage patterns in predicting phenotypical sequelae of patients with complex concussions or Persistent Post Concussive Symptoms (PPCS).

Collaborating Institutions

  • SPARCC Sports Medicine, Rehabilitation, and Concussion Center (Tucson, AZ, USA)

  • Department of Pediatrics, Tucson Medical Center (Tucson, AZ, USA)

WAVi Involvement

  • Provided EEG data acquisition hardware for research use

  • No involvement in study design, data analysis, or interpretation